Recent research by the Key Laboratory of Tea Biology and Resources Utilization of Ministry of Agriculture and Rural Affairs (MARA) based at Tea Research Institute, Chinese Academy of Agricultural Sciences (TRICAAS) revealed the molecular mechanism of naphthalene acetic acid-induced adventitious root formation of tea cuttings. Relevant results have been published in BMC Plant Biology in an essay entitled “Integrated transcriptome and hormonal analysis of naphthalene acetic acid?induced adventitious root formation of tea cuttings (Camellia sinensis)”.
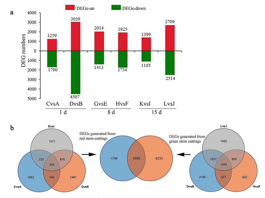
The breeding or cultivation of tea plant mainly involves propagation via cuttings. The formation of adventitious root (AR) determines the success of cutting-based propagation, and auxin is an essential factor involved in this process. In this study, Naphthalene Acetic Acid (NAA) significantly promoted AR formation in both red- and green-stem cuttings. External application of NAA reduced the levels of endogenous indole-3-acetic acid (IAA) and cytokinin (TZR, trans-zeatin riboside). The number of DEGs (NAA vs. CK) identified in the green-stem cuttings was significantly higher than that in the red-stem cuttings, which corresponded to a higher rooting rate of green-stem cuttings under the NAA treatment. The negative regulation of NAA-induced IAA and GH3 genes may explain the decrease of endogenous IAA. NAA reduced endogenous cytokinin levels and further downregulated the expression of cytokinin signalling-related genes. By the use of weighted gene co-expression network analysis (WGCNA), several hub genes, including cellulose synthase (CSLD2), SHAVEN3-like 1 (SVL1), SMALL AUXIN UP RNA (SAUR21), were identified that might play important roles in AR formation in tea cuttings.
Wang Yongxin and Pang Dandan contributed equally to this work as co-first authors. Professor Wei Kang, Wang Liyuan, and Cui Qingmei are the co-corresponding authors. The study was supported by the National Natural Science Foundation of China (31570695, 41601329), the Earmarked Fund for China Agriculture Research System (CARS-19), the Major Science and Technology Special Project of Variety Breeding of Zhejiang Province (2016C02053) and the Central Public-interest Scientific Institution Basal Research Fund (1610212020002).
More details are available on the link below:
https://doi.org/10.1186/s12870-022-03701-x
By Wang Yongxin (wyx@tricaas.com)

Fig. 1 DEGs (NAA vs. CK) identified in different comparisons under NAA treatment.

Fig. 2 Co-expression network analysis of NAA-specific modules.