近日,我所茶葉質量與風險評估創新團隊在茶葉中赤霉酸(GA3)降解行為研究方面取得重要進展。團隊基于強降解和高分辨率質譜技術的理念,揭示了不同的應力因素(光、pH和溫度等)下GA3的降解行為,相關研究成果發表在《食品化學(Food Chemistry)》、《農業食品化學(Journal of Agricultural and Food Chemistry)》、《色譜B(Journal of Chromatography B)》上。
GA3是一種廣譜性的植物生長調節劑,促進茶芽提早萌發、茶樹新梢快速生長,進而提高茶葉產量。目前,GA3在茶葉生產鏈中的降解動態研究主要集中在母體化合物殘留規律研究,其降解產物的發生以及相應的殘留行為研究甚少。GA3容易轉化為其他的代謝產物,高溫作用下GA3大量轉化為其同分異構體,然而針對GA3及其降解產物在茶葉生產過程中的降解行為未見報道。


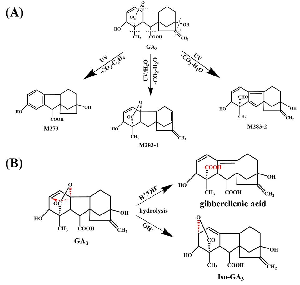
該研究發現, GA3在紫外光照下發生光降解,形成3種光降解產物M273、M283-1和M283-2。酸性和堿性條件都能加速GA3的光解過程。GA3在水解條件下轉化為其同分異構體,在酸性條件下GA3水解僅形成一種異構體(gibberellenic acid),在堿性條件下可以轉化兩種異構體(iso-GA3和gibberellenic acid)。GA3在茶樹鮮葉上的消解半衰期為2.46~2.74天。GA3在茶葉生產過程中容易轉化為iso-GA3,且在該過程中iso-GA3比母體GA3更穩定,殘留期更長。茶葉中GA3和iso-GA3沖泡過程中的浸出率為77%-94%。該研究為赤霉酸在茶樹上科學、合理使用及其安全性評估提供了重要基礎數據。

該研究得到中國農業科學院創新工程、國家自然科學基金等項目支持。
原文鏈接:
https://www.sciencedirect.com/science/article/pii/S030881462101668X
https://pubs.acs.org/doi/10.1021/acs.jafc.0c06025
https://www.sciencedirect.com/science/article/pii/S1570023219318355?via%3Dihub